织物的光泽度怎么测?随着织物光泽理论的不断发展,国内外学者提出了许多关于织物光泽度测试的方法,归纳总结起来,主要有:对比光泽度测试、偏光光泽度测试、镜面光泽度测试及其他测试方法。本文对织物光泽度测量的这几种常见方法进行了具体的介绍,感兴趣的朋友可以了解一下!

800彩票对比光泽度测试是基于方向差异理论,其测试原理是通过光电传感器检测织物表面的在一定角度下的正反射光强大小及漫反射光强大小,并按照纺织行业测试标准《FZ/T 01097-2006织物光泽测试方法》中的公式计算织物光泽,是目前织物光泽标准仪器测试方法。这种方法直观易行,能区分织物光泽反射光的不同组成部分,国内众多学者采用这种方法研究不同织物的光泽特征。
二维对比度光泽测试是对比度光泽测试的延伸,该方法通过二维变角光度曲线的形状和高低以及特征峰的个数等指标来反映织物的光泽。该方法最大的特点是光源的入射角度和反射光的接收角度均可独立改变,通过选择光源入射角度和反射光的接收角度来计算织物光泽。国外的不同型号的变角光度仪,国内的织物光泽测试仪以及国内高校研制的变角光泽度仪都遵循二维对比光泽度测试的测试原理
三维对比光泽度测试与二维对比光泽度测试原理基本一致,区别在于二维对比光泽度测试反映织物在一定光源入射条件下点的反射光光强分布,而二维对比光泽度测试反映织物在一定光源入射条件下面的反射光光强分布。
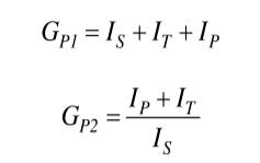
800彩票偏光光泽度测试是基于内外差异理论,其测试原理通过测试织物内部反射光、表面反射光在不同方向上的分布差异以及不同反射光强度大小来表示光泽。该方法通过以下公式来计算织物的光泽。

式中,Is为表面反射光,Ip为内部反射光,ID为漫反射光,IT为透射射光,GP1为光泽度的量,GP2为光泽度的质。
镜面光泽度测试是通过测量织物表面的反射光强度、反射率大小来评价织物的光泽,这种方法实现简单,成本较低,常用与多领域内物体表面的光泽测定,例如涂料、瓷砖、纸等。三恩时公司的光泽度测试仪器都具备上述功能,在光源入射角为60°时,测试结果可靠性较高,广泛应用于织物光泽的研究。
其它光泽测试方法包括显微光泽计法、图像结构分析法和计算机视觉方法等。国内学者也尝试通过分光光度计和积分球测试织物光泽。分光光度计可测量物体表面多个波段的连续谱图,连续谱图包含物体表面多个波段的反射率、透过率和吸收度等特征信息,通过特征信息在某一波段范围内的平均值来表征织物的光学性能。这种织物光泽测试方法应用广泛,且操作简单,已被多家研究机构作为研究物体光学性能的研究仪器。积分球通过测量样本表面光谱辐射量并计算各个方向的反射率和透过率去测试多种物体表面的光学性能,一定程度上满足了纺织品能量无损伤以及测量的完整性的测试要求,广泛的应用于国内外织物光泽的研究与测试。上述方法研究的物理指标是反射率,不能解释织物的光泽状态,也无法区分光泽组成,存在一定的局限性。