镜向光泽度板主要用于镜向光泽度计测量过程中的标定,按照工作性质的不同可以分为标准板和工作板两级,通常和光泽度计配套使用。许多的用户对光泽度计镜向光泽度板的检定不是很了解,本文为大家作了介绍,感兴趣的朋友可以了解一下!

镜向光泽度板(以下简称光泽度板)分为标准板和工作板两级,工作光泽度板通常和工作光泽度计配套使用,用于测量过程中定标。光泽度板按光泽度值又分为高、中、低三种。高光泽度板由黑色光学玻璃或其他材料制成。中光泽度板和低光泽度板由涂釉陶瓷或黑色光学玻璃磨砂制成。
光泽度板的计量性能应符合下表的规定。

1.高光泽度板
①平面度
高光泽度板的长度小于等于80mm时,其工作面的干涉光圈应不大于10个光圈,局部光圈不大于2个光圈;长度大于80mm时,其干涉光圈应不大于15个光圈,局部光圈不大于3个光圈。
②光谱透射比
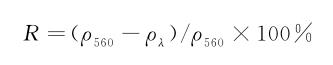
800彩票高光泽度板在(400~760)nm范围内的光谱透射比应不大于0.03。
2.陶瓷光泽度板的反射中性误差
陶瓷光泽度板在(400~760)nm范围内的光谱反射中性误差不应超过士12%。按下列公式计算。

式中:
R——光谱反射中性误差;
800彩票ρ560——波长为560nm的反射率;
800彩票ρλ——波长为λ的反射率
1.外观要求
①光泽度板应有编号,并配有包装保护盒。保护盒上应有制造厂名或厂标。
②光泽度板的工作表面不应有影响光泽度测量的缺陷,侧面应有测量定位标记。
2.高、中、低光泽度值的划分
800彩票光泽度板按照其60°光泽度值划分为:
高光泽度板:Gs(60°)>70.0GU;
800彩票中光泽度板:30.0GU≤Gs(60°)≤70.0GU;
低光泽度板:Gs(60°)<30.0GU。
1.检定条件
1)检定设备
800彩票①标准光泽度板检定设备
检定标准光泽度板应使用光泽度基准装置;检定高光泽度板的光谱透射比和陶瓷光泽度板的光谱反射中性误差应使用分光光度计(光谱范围:380nm~780nm),分光光度计计量性能要求达到二级以上。
800彩票检定高光泽度板平面度应使用二级平面平晶。
800彩票②工作光泽度板检定设备
800彩票检定工作光泽度板应使用标准光泽度计。
2)检定环境条件
800彩票无干扰及振动源的清洁实验室。
室温:(20士5)℃,相对湿度:<85%。
2.检定项目
800彩票光泽度板的检定项目见下表。

3.检定方法
1)标准光泽度板
①外观检测
通过目视观察,按光泽板通用技术中的外观要求进行检查。
使用吹球清洁表面。如表面有污痕,用清洁液及擦镜纸轻轻擦去。按测量要求选择基准光泽度计的测量角度。按操作技术规范使基准光泽度计处于稳定的工作状态,并调好零位。
②光泽度值
零位调好后,按被检标准板的分类取相应的基准板,将其紧贴基准光泽度计的测量基面,并对准中心位置。按基准板的光泽度值设定基准光泽度计的示值。
换上被检标准板,对准中心位置,并紧贴于基准光泽度计的测量基面,然后记录其读数,即得到该板的光泽度值。
800彩票在每次检定结束时,应对基准板的光泽度值进行复核,并检验基准光泽度计的零位。被检标准板数量较多时,应在检定过程中复核此两个项目。
对被检标准板应实行两次检定,光泽度值取两次平均值为被检标准板的标定值。被检标准板中心的光泽度值应符合光泽度板计量性能和高、中、低光泽度值的划分的规定。
800彩票光泽度板检定的正常位置,应按长度方向平行于测量平面,否则应在证书上另加注说明。
③高光泽度板平面度
将平面平晶放在高光泽度板测试面上,观察其干涉条纹,按平面度要求进行检查。
④高光泽度板光谱透射比
用分光光度计测量高光泽度板的光谱透射比,应符合光泽度板光谱透射比的要求。
800彩票⑤陶瓷光泽度板光谱反射中性误差
对首次生产的陶瓷光泽度板,用分光光度计测量其光谱反射率ρλ,取ρλ与ρ560(波长为560nm的反射率)的最大差为光谱反射中性误差。它应符合光泽度板计量性能要求中平面度的要求。
⑥光泽度值的年变化量
800彩票按相隔1年的两次送检的光泽度板之光泽度值计算变化量,应符合表2的要求。
2)工作光泽度板
测量方法同标准光泽度板一致,检定设备使用标准光泽度计和标准光泽度板。
4.检定结果处理
首次检定的光泽度板要求全部指标均合格。后续检定和使用中检验的光泽度板,其年变化量指标必须合格。
经检定合格的光泽度板发给检定证书;不合格的光光泽度板发给检定结果通知书,并注明不合格项目。

800彩票检定证书要注明被测样品所对应的国家标准或ISO标准的代号,否则应特别注明测量角和张角。
5.检定周期
光泽度板的检定周期一般不超过一年。