什么是光泽度和粗糙度?如何理解二者的关系?很多用户对于工业生产上规定的光泽度和粗糙度还不了解,经常会弄混淆,下文就为大家简单的介绍一下光泽度与粗糙度的关系。

800彩票 光泽度和粗糙度的区别:
表面光泽度则是表示物体表面对于光的漫反射的强弱,以肉眼看去,表面漫反射强烈,则更接近镜面效果,则光泽度高,反之,表面漫反射弱,则光泽度低,因此光泽度又称为镜面光泽度。表面光泽度的影响因素和表面的物理性能及表面使用材料的化学性能有关。检测物体表面镜面光泽度的方法需要使用到表面光泽度仪。
800彩票 表面粗糙度(surfaceroughness)是指加工表面具有的较小间距和微小峰谷的不平度。其两波峰或两波谷之间的距离(波距)很小(在1mm以下),它属于微观几何形状误差。表面粗糙度越小,则表面越光滑。
800彩票 表面粗糙度一般是由所采用的加工方法和其他因素所形成的,例如加工过程中刀具与零件表面间的摩擦、切屑分离时表面层金属的塑性变形以及工艺系统中的高频振动等。由于加工方法和工件材料的不同,被加工表面留下痕迹的深浅、疏密、形状和纹理都有差别。
800彩票 表面粗糙度与机械零件的配合性质、耐磨性、疲劳强度、接触刚度、振动和噪声等有密切关系,对机械产品的使用寿命和可靠性有重要影响。一般标注采用Ra。
800彩票 光泽度和粗糙度的联系:
物体表面不是绝对平滑表面,它的镜面反射率(即光泽度)不仅取决于物体的折射率,而且与表面粗糙程度有关。当表面粗糙度大于入射光波长时,表面除产生镜面反射外,还有漫反射,表面越粗糙,漫反射量越多,相应镜面反射量降低,光泽变弱。
800彩票 影响测量精度零件被测表面和测量工具测量面的表面粗糙度都会直接影响测量的精度,尤其是在精密测量时。
此外,表面粗糙度对零件的镀涂层、导热性和接触电阻、反射能力和辐射性能、液体和气体流动的阻力、导体表面电流的流通等都会有不同程度的影响。
粗糙度Ra与Sa关系:
(1)Ra是基于线轮廓法评定粗糙度时使用的参数,其定义为:

其中Z为物体表面轮廓上点到基准线的距离,N为采样点数。它表示轮廓的算数平均偏差。用于表征物体表面一维轮廓的粗糙程度。
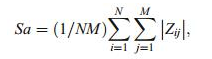
(2)Sa是基于区域形貌的粗糙度评定参数,其定义为:

其中为Z物体表面区域轮廓上点到基准平面的距离,M,N分别为评定区域中相互垂直两个方向上的采样点数。它表示区域形貌的算数平均偏差。用于表征物体表面二维形貌的粗糙程度。在微观领域评判表面粗糙度时,Sa比Ra更适用。
800彩票 以上就是小编搜集整理的“光泽度与粗糙度的关系是什么”全部内容,想了解更多光泽度资讯的用户,可以关注我们的后续更新!